When considering the structure and stability of proteins and the interaction between proteins and other proteins, DNA or materials used in protein purification, it is necessary to understand the molecular forces involved and how the strength of these molecular forces changes with the change of temperature, pH, ionic strength of solution and other conditions.With regard to protein interactions, it seems that the most important atomic interactions are hydrogen bond, hydrophobic interaction and ion interaction. The following is a brief introduction of these interactions.



Hydrogen Bond



Hydrogen bonds are formed when protons are shared by proton donors(-NH and -OH) and proton receptors(O=C- and :N-).The optimal hydrogen bond has linear geometry, and the distance between donor and acceptor atoms is between 2.6 ~ 3.lA. The hydrogen bond is stronger at low temperature, and weakens when the temperature increases.



Hydrophobic Action



Nonpolar residues (isoleucine, leucine, Myanmar amino acid, phenylalanine and tryptophan) cannot form suitable hydrogen bonds with water.To avoid boiling water, they tend to clump together in a so-called hydrophobic way, often leading to hiding them inside proteins. In high salt and high temperature, the hydrophobic effect will be enhanced.



Ion Interaction



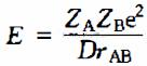
The interaction of ions occurs between charged molecules, with the same repulsion and the opposite attraction. The electrostatic interaction force can be approximately given by Coulomb's Law:


electrostatic interaction force

In the formula, rAB is the distance between two charges A and B, ZA and ZB are the unit charges of charge A and B, e is the unit charge, and D is the dielectric constant of the solvent. Therefore, the intensity of the ion interaction is inversely proportional to the distance between charges and the dielectric constant of the solvent, which can range from 2 of non-polar solvent to 80 of strong polar solvent (such as water). When the ionic strength of the solvent increases and the charge is shielded by the equilibrium ion, the ion interaction weakens. The ion interaction is also affected by the pH of the solution, which determines the number of charged residues.







Related reading:    Southern Blot Protocol       Summary Of ELISA Protocols